 
					Ryanodine Sensitive Intracellular Ca2 Channels Are Involved In The Output From The Scn Circadian Clock Aguilar Roblero 2016 European Journal Of Neuroscience Wiley Online Library
 
					Como Conectar Un Circuito Electrico 9 32 Youtube
 
					Circuito 9 12 Circuito 9 12
Guia 24 04 Practico Circuito Simple 9 12 9 15 Y 9 32 V3 Electronica Red Electrica
 
					Instalaciones Electricas Domiciliarias Resistencia Electrica Y Conductancia Generador Elect En 2020 Instalacion Electrica Generadores Electricos Potencia Electrica
Apoyo Certamen Instalaciones Electricas
 
											 
					Circuito 9 12 Enchufe Youtube
 
					Electricidad Circuitos De Instalaciones Electricas Docsity
 
					Circuito Integrado Search Easyeda
 
					Fungal Diversity Notes 253 366 Taxonomic And Phylogenetic Contributions To Fungal Taxa Springerlink
Circuito Electrico 9 12
 
					Ppt Electricidad Practica Powerpoint Presentation Free Download Id 5480016
 
					Material Apoyo Electrico 2 Medio
 
					Material Apoyo Electrico 2 Medio
Interruptor Simple 9 12 16 A Blanco Genesis Sodimac Cl
 
					Objetos Tecnologiicos
 
					Electronic Circuit Diagrams Part 2 2020 Goruntuler Ile Elektronik Devre
 
					Circuito De Alumbrado 9 32 Wokingtools
 
					Circuitos De Iluminacion Circuitos 9 12 Y 9 24
Https Nanopdf Com Download Manual De Esquemas Moeller 02 05 5b357108a1c97 Pdf
 
					Applied Sciences Free Full Text Sorption Of Pb Ii From Aqueous Solutions By Acid Modified Clinoptilolite Rich Tuffs With Different Si Al Ratios
 
					Circuitos Domiciliarios Basicos Prof Oscar Lira
 
					Instalaciones Electricas Inacap
 
					Circuitos Electricos
 
					Circuito De Alumbrado 9 24 Wokingtools
 
					Circuitos Domiciliarios Basicos Prof Oscar Lira
 
					Sustainability Free Full Text The New Pyramid Of Needs For The Digital Citizen A Transition Towards Smart Human Cities Html
 
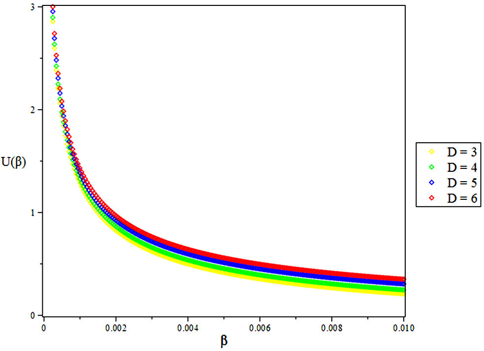
					A Study Of Thermodynamic Properties Of Quadratic Exponential Type Potential In D Dimensions
 
					Circuito Combinado 8 18 June 2020 Loom Recording Youtube
 
					Circuitos Ppt Descargar
 
					Solve And Simulate Circuits Exercises By Odusito
Instrucciones Para El Desarrollo Electricidad Ingenieria Electrica
 
					Circuitos De Alumbrado 9 12 Wokingtools
 
					Proper Motions Of L1551 Irs 5 Binary System Using 7 Mm Vla Observations
 
					Apunte Instalaciones Electricas Pdf Free Download
 
					Circuitos
 
					Circuitos De Alumbrado 9 12 Wokingtools
 
					A Study Of Thermodynamic Properties Of Quadratic Exponential Type Potential In D Dimensions
 
					Definicion De Circuito Ppt Descargar
 
					Ppt Electricidad Practica Powerpoint Presentation Free Download Id 5480016
 
					12 Volt Battery Charger Circuit With Lm317 Regulator
2
 
					Circuito Electrico 9 24 Youtube
 
					Distribucion Electrica Box 2 4 5 8 9 12 Formas Montado En Superficie Circuito 2 4 5 8 9 12 Formas De Distribucion Del Disyuntor Caja De Distribucion De Proteccion Amazon Es Hogar
 
					Applied Sciences Free Full Text Sorption Of Pb Ii From Aqueous Solutions By Acid Modified Clinoptilolite Rich Tuffs With Different Si Al Ratios Html
Taller 1 Confeccion Circuito 9 12 Corriente Electrica Bienes Manufacturados
 
					A Study Of Thermodynamic Properties Of Quadratic Exponential Type Potential In D Dimensions
 
					The Op Amp Pid Controller
 
					Circuitos Domiciliarios By Eduardo Troncoso Issuu
 
					Applied Sciences Free Full Text Sorption Of Pb Ii From Aqueous Solutions By Acid Modified Clinoptilolite Rich Tuffs With Different Si Al Ratios Html
Http Www Pub Iaea Org Mtcd Publications Pdf Te 977 Prn Pdf
 
					Instalaciones De Luz Comandadas Desde Distintos Puntos Ppt Video Online Descargar
 
					Circuitos Ppt Descargar
 
					Circuito 9 12 Enchufe Youtube
 
					Pagina 0 De 143 Area Electricidad Electronica Y Telecomunicaciones Pdf Free Download
 
					Instalaciones Electricas By Jaime Millapan Issuu
 
					Circuitos
 
					Pin En Decoracion De Casa
 
					Highly Reversible Sorption Of H 2 S And Co 2 By An Environmentally Friendly Mg Based Mof Journal Of Materials Chemistry A Rsc Publishing Doi 10 1039 C8ta05400b
 
					Circuitos Electricos Problemas Y Ejercicios Resueltos El9v3zm4wxqy
Sector Carlos 2015
 
					Circuito Simple 9 12
 
					Variation Of Ethnomycological Knowledge In A Community From Central Mexico Variation Of Ethnomycological Knowledge In A Community From Central Mexico Open Access Pub
2
Ac Dc And Dc Dc Conversion Reference Designs
 
					Como Desenhar Uma Placa De Circuito Impresso Pcb Electrofun Blog
 
					Como Desenhar Uma Placa De Circuito Impresso Pcb Electrofun Blog
 
					Metals Free Full Text Corrosion Study Of Pipeline Steel Under Stress At Different Cathodic Potentials By Eis Html
 
					Changes Of Mind In The Absence Of New Post Decision Evidence Biorxiv
 
					Fungal Diversity Notes 253 366 Taxonomic And Phylogenetic Contributions To Fungal Taxa Springerlink
 
					Como Desenhar Uma Placa De Circuito Impresso Pcb Electrofun Blog
 
					Circuit Diagram Wikipedia
 
					Replacement Battery For Lg Bl 41a1h Cell Phone Battery Walmart Com Walmart Com
 
					Changes Of Mind In The Absence Of New Post Decision Evidence Biorxiv
 
					Circuito De Alumbrado 9 24 Wokingtools
Https Www Rhona Pe Uploads 2014 01 20140120091150 Cat Rhona Abr 2014 Pr Pdf
 
					Circuitos Electricos
Instalaciones Electricas En General Home Facebook
Https Www Rhona Pe Uploads 2014 01 20140120091150 Cat Rhona Abr 2014 Pr Pdf
 
					The Bismuth Oxyhalide Family Thin Film Synthesis And Periodic Properties Dalton Transactions Rsc Publishing
 
					3 Pc 7 9 12 Punches 25 Mm Piel Recto Manejar Pcb Placa De Circuito Anti Static Cepillo
Circuito Golf Cadena Cope Photos Facebook
 
					Metals Free Full Text Microalloyed Steels Through History Until 2018 Review Of Chemical Composition Processing And Hydrogen Service Html
 
					Tipos De Circuitos De Alumbrado Electricidad Gallardo
 
					Ejemplo Memoria Explicativa En5ky96o9eno
 
					Circuito Callejero De Moscu Wikipedia La Enciclopedia Libre
Electricidad Y Electronica Circuito 9 15
 
					Arduino Pwm Solar Charge Controller V 2 02 25 Steps With Pictures Instructables
 
					Pagina 0 De 143 Area Electricidad Electronica Y Telecomunicaciones Pdf Free Download
 
					Instalaciones Electricas By Jaime Millapan Issuu
 
					Circuito 9 12 Youtube
 
					Battery Level Monitor Circuit
 
					A1 Circuito 9 12 Carlos Conexion Com
 
					American Space Nuclear Electric Systems
 
					Inhibition Of Trpv1 Channels By A Naturally Occurring Omega 9 Fatty Acid Reduces Pain And Itch Nature Communications
 
					Conexion Electrica De Alumbrado Con Circuito 9 12 Youtube
 
					Circuitos Domiciliarios Basicos Prof Oscar Lira
 
					Circuitos De Alumbrado 9 12 Wokingtools
 
					Circuitos Electricos Domiciliarios
Http Www Scp Sa Es Resources Ckeditor Files Conectorestv Pdf